A i R i B i

From AI Through RI to BI: The Evolution of Intelligence and the Foundations of Mathematics.


This document explores the intricate journey of intelligence from artificial constructs to biological understanding, emphasizing the pivotal role of mathematics throughout history. It delves into the philosophical implications of mathematical foundations, the contributions of historical figures like Leibniz, and the potential of ancient cultures to inform modern technological advancements. The narrative advocates for a renewed focus on education that bridges traditional wisdom with contemporary innovation, particularly in the context of the Maya civilization's contributions to mathematics.

The Playful Ruffle of Childhood or a Lifelong Journey?

For one person, mathematics is the playful ruffle of childhood; for another, it marks the beginning of a lifelong journey toward understanding existence itself. The path from Leibniz’s binary code to today’s quantum mechanics spans civilizations—from ancient Indian and Arabic scholars to Heisenberg’s uncertainty principle, from the materialistic atomism of classical physics to the virtual realms simulated at CERN.

But have we truly interpreted the foundations of mathematics correctly? Or are we still wandering in a childlike realm of playful fantasy, constructing so-called realities in consciousness without meaningful progress?

Though I am often accused of misinterpreting number sequences, I can assert with confidence: the tangibility of infinity cannot be proven.


The Evolution of Intelligence

Thus, the race toward artificial intelligence (AI) can only be mediated by its evolution into real intelligence (RI), which must ultimately dissolve into biological intelligence (BI). Here, we arrive at the core question: How can this be achieved?

The answer lies where thought first found words—in the primal language underlying binary code. The Mum language of Guatemala’s highlands offers a key to unlocking the foundations of IT mathematics. Here, openly before the world, a new trajectory emerges: the children of this ancient culture may hold the gifts of thought that transcend quantum logic and arrive at mathematical biological intelligence.

Historical Insights: Leibniz and Beyond

Though the Indian mathematician Madhava had derived this formula centuries earlier, Leibniz arrived at it independently—inspired, perhaps, by his encounter with the Madrid Maya Codex. His work crowned him as one of the pioneers of the infinite.


Infinitesimal Calculus: The Mathematics of the Arbitrarily Small

Leibniz’s genius extended beyond series—he invented calculus, introducing the symbols dx (the infinitesimal) and the integral sign (∫). Though Newton claimed parallel discovery, history recognizes both as independent architects of this monumental mathematical framework.

Digitization: The Father of the Binary Era

Leibniz formalized binary arithmetic, envisioning 1 as divine presence and 0 as its absence. His mechanical calculators, though imperfectly constructed in his time, laid the groundwork for modern computing. Every algorithm, every digital circuit, traces back to his vision.

Atoms, Monads, and the Fabric of Reality

While contemporaries believed in atoms, Leibniz proposed monads—extensionless metaphysical units composing reality. Modern physics, in a way, vindicates him: atoms dissolve into quantum fields, and matter reduces to mathematical symmetries. Was Leibniz not merely wrong, but prematurely profound?

Multiverses: A Leibnizian Premonition

His monads—each a self-contained universe—prefigured today’s multiverse theories. Though his metaphysics differed from modern cosmology, the motif of plural realities was born in his mind three centuries ago.

Artificial Intelligence: The Limits of Machine Thought

Leibniz pondered thinking machines but doubted their possibility. Today, AI excels in narrow tasks yet lacks true understanding. The debate endures: Can machines ever possess intelligence—or merely simulate it?

The Best of All Worlds and Free Will

Leibniz’s theodicy argued that evil exists so humanity may overcome it. His deterministic "Laplacian demon" foreshadowed modern neuroscience’s challenge to free will. Yet, if even Leibniz—a man of boundless intellect—subscribed to determinism, might our mathematical foundations themselves shape what we deem possible?

The Call to Action: A New Mathematical Awakening

"Fund the mathematical education of the Mum Maya children—now. Let the world see where Leibniz’s journey truly leads."

In their language, in their thought, lies the next leap: from quantum computation to biological intelligence. The race is not for silicon, but for the mathematics of life itself.

Only to add our support in this area.
WHAT DRIVES YOU?

Contact: a i r i b i @ b o g e . c o m . g t 

Mobirise

Podcast

Intelligence Evolution and the Maya Connection

The core theme revolves around the evolution of intelligence from artificial (AI) to real (RI) and ultimately biological (BI), highlighting the crucial role of mathematics throughout history and advocating for a renewed focus on traditional wisdom, particularly from the Maya civilization, to inform future technological advancements and redefine our understanding of mathematics and intelligence.

Mobirise Website Builder

The Maya Mind: Shaping Our AI Future

Now, imagine: What if their children, the heirs of zero’s inventors, could merge ancestral wisdom with modern technology? Teaching them advanced mathematics isn’t just about education—it’s about global innovation. Their unique perspective could reshape AI algorithms, networking systems, and problem-solving frameworks in ways we haven’t yet imagined.

This is why we’re building a school in the highlands—to bridge ancient knowledge and the digital future. Because sometimes, progress doesn’t just move forward… it loops back to the wisdom of those who saw the world in zeros before the rest of us even understood what that meant.

Support the next generation of Maya thinkers. Their vision could redefine ours.

Contact: a i r i b i @ b o g e . c o m . g t

Support the next generation of Maya thinkers. Their vision could redefine ours.

Mobirise Website Builder

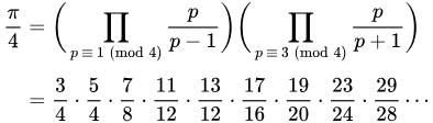
The Leibniz Series: Pi and the Infiniti


In 1682, Leibniz discovered an infinite series to approximate π (pi):

No Code Website Builder